Каждый из нас хоть раз в жизни прошел через ремонт. В процессе ремонта приходится делать монтаж и замену электропроводки, ведь она приходит в негодность при длительной эксплуатации. К сожалению, на рынке сегодня можно встретить очень много некачественной кабельно-проводниковой продукции. За счет различных способов удешевления товара страдает его качество. Заводы-изготовители занижают толщину изоляции и сечение кабеля в процессе производства.
Один из способов удешевления − использование для изготовления токопроводящей жилы материалов низкого качества. Некоторые производители добавляют дешевые примеси при изготовлении проводов. За счет этого токопроводность провода снижается, а, значит, качество продукции оставляет желать лучшего.
Кроме того, заявленные характеристики проводов (кабелей) уменьшаются из-за заниженного сечения. Все уловки изготовителя приводят к тому, что в продаже появляется все больше некачественной продукции. Поэтому стоит отдавать предпочтение той кабельной продукции, которая имеет подтверждение качества в виде сертификатов.
Цена качественного кабеля – это единственный, и, пожалуй, главный недостаток, который перечеркивает массу достоинств этого изделия. Медное кабельно-проводниковое изделие, которое выпущено по ГОСТу, имеет заявленное сечение проводника, требуемые по ГОСТу состав и толщину оболочки и медной жилы, произведено с соблюдением всех технологий, будет стоить дороже той продукции, которая выпускалась в кустарных условиях. Как правило, в последнем варианте можно найти массу недостатков: заниженное сечение в 1,3-1,5 раза, придание жилам цвета за счет стальки с добавлением меди.
Покупатели опираются на цену при выборе товара. На поиске низкой цены сконцентрировано основное внимание. И многие из нас даже не в силах назвать производителя, не говоря уже о качестве кабеля. Нам важнее, что мы нашли кабель с нужной маркировкой, например, ВВГп3х1,5, а качество изделия нас не интересует.
Поэтому чтобы не попасть на брак в данной статье рассмотрим несколько способов, как можно определить сечение кабеля по диаметру жилы. В сегодняшнем мануале я покажу, как такие расчеты можно произвести и с помощью высокоточных измерительных инструментов, так и без них.
Проводим расчет сечения провода по диаметру
В последнее десятилетие особенно заметно снизилось качество выпускаемой кабельной продукции. Больше всего страдает сопротивление — сечения провода. На форуме я часто замечал, что народ недоволен подобными изменениями. И продолжаться это будет до тех пор, пока на это наглое воровство изготовителя не начнут реагировать.
Со мной произошел аналогичный случай. Мною было куплено метра два провода маркировки ВВГнг 3х2,5 кв. миллиметра. Первое что мне бросилось в глаза, это очень тонкий диаметр. Я подумал, что, скорее всего, мне подсунули провод меньшего сечения. Еще больше удивился, когда увидел надпись на изоляции ВВГнг 3х2.5 кв.мм.
Опытному электрику, ежедневно сталкивающемуся с проводами, легко определить «на глаз» сечение кабеля или провода. Но порой даже профессионал делает это с трудом, не говоря уже о новичках. Сделать расчет сечения провода по диаметру – это важная задача, которую нужно решить прямо в магазине. Поверьте, эта минимальная проверка обойдется вам дешевле и проще, чем восстановление ущерба от возгорания, которое может возникнуть из-за короткого замыкания.


Вы наверное спросите зачем необходимо проводить расчет сечения кабеля по диаметру? Ведь в магазине любой продавец подскажет, какой провод вы должны купить под вашу нагрузку, тем более на проводах есть надписи, на которых указано количество жил и сечение. Что тут сложного рассчитал нагрузку, купил провод, сделал электромонтаж. Однако не все так просто.
Порой на бухте провода или кабеля и вовсе нет бирки, на которой указаны технические характеристики. Скорее всего, эта та ситуация, о которой я рассказывал выше, − несоответствие проводниковой и кабельной продукции требованиям современных ГОСТов.
Чтобы никогда не становиться жертвой обмана, настоятельно рекомендую вам научиться определять сечение провода по диаметру самостоятельно.
Заниженное сечение провода — в чем опасность?
Итак, рассмотрим опасности, которые поджидают нас при использовании в быту проводов низкого качества. Понятно, что токовые характеристики токоведущих жил снижаются прямо пропорционально уменьшению их сечения. Нагрузочная способность провода из-за заниженного сечения падает. Согласно стандартам рассчитан ток, который может пропустить через себя провод. Он не разрушится, если по нему пройдет меньший ток.
Сопротивление между жилами уменьшается, если слой изоляции более тонкий, чем требуется. Тогда в аварийной ситуации при повышении питающего напряжения в изоляции может возникнуть пробой. Если наряду с этим сама жила имеет заниженное сечение, то есть не может пропустить тот ток, который по стандартам она должна пропускать, тонкая изоляция начинает постепенно расплавляться. Все эти факторы неизбежно приведут к короткому замыканию, а потом и к пожару. Пожар возникает от искр, появляющихся в момент короткого замыкания.
Приведу пример: трехжильный медный провод (например, сечением 2,5 кв. мм.) согласно нормативной документации может длительно пропускать через себя 27А, обычно, считают 25А.
Но попадающиеся мне в руки провода, выпущенные согласно ТУ, на самом деле имеют сечение от 1,8 кв. мм. до 2 кв. мм. (это при заявленном 2.5 кв.мм.). Исходя из нормативной документации провод сечением 2 кв. мм. может длительно пропускать ток 19А.
Поэтому случись такая ситуация, что по выбранному вами проводу, который якобы имеет сечение 2,5 кв. мм., потечет рассчитанный на такое сечение ток, провод перегреется. А при длительном воздействии произойдет оплавление изоляции, затем и короткое замыкание. Контактные соединения (например, в розетке) очень быстро разрушаться, если такие перегрузки будут происходить регулярно. Поэтому сама розетка, а также вилки бытовых приборов также могут подвергнуться оплавлению.
А теперь представьте последствия всего этого! Особенно обидно, когда сделан красивый ремонт, установлена новая техника, например, кондиционер, электрический духовой шкаф, варочная панель, стиральная машинка, электрический чайник, микроволновка. И вот вы поставили печься булочки в духовку, запустили стиральную машину, включили чайник, да еще и кондиционер, так как стало жарко. Этих включенных приборов достаточно, чтобы пошел дым из распределительных коробок и розеток.
Потом вы услышите хлопок, который сопровождается вспышкой. А после этого пропадет электричество. Все еще хорошо закончится, если у вас имеются защитные автоматы. А если они низкого качества? Тогда хлопком и вспышкой вы не отделаетесь. Начнется пожар, который сопровождается искрами от проводки, горящей в стене. Проводка будет гореть в любом случае, даже если она замурована наглухо под плиткой.
Описанная мной картина дает ясно понять, насколько ответственно нужно выбирать провода. Ведь вы будете использовать их в своем жилище. Вот что значит, следовать не ГОСТам, а ТУ.
Формула сечения провода по диаметру
Итак, хотелось бы подвести итог всему вышесказанному. Если среди вас есть те, кто не читал статью до этого абзаца, а просто перепрыгнул, повторюсь. На кабельной и проводниковой продукции зачастую отсутствует информация о нормах, согласно которым она изготавливалась. Поинтересуйтесь у продавца, по ГОСТ или по ТУ. Продавцы порой и сами не могут ответить на этот вопрос.
Можно смело утверждать, что провода, изготовленные по ТУ, в 99,9 % случаев имеют не только заниженное сечение токоведущих жил (на 10−30%), но и меньший допустимый ток. Также в таких изделиях вы обнаружите тонкую внешнюю и внутреннюю изоляцию.
Если вы обошли все магазины, а проводов, выпущенных по ГОСТ, так и не нашли, то берите провод с запасом +1 (если он выпущен по ТУ). Например, вам нужен провод 1,5 кв. мм., тогда следует брать 2,5 кв. мм. (выпущенный то ТУ). На практике его сечение окажется равным 1,7-2,1 кв. мм.
Благодаря запасу сечения обеспечится запас по току, то есть нагрузка может быть немного превышена. Тем лучше для вас. Если же вам нужен провод сечением 2,5 кв. мм., то возьмите с сечением 4 кв. мм., так как его реальное сечение будет равно 3 кв.мм.
Итак вернемся к нашему вопросу. Проводник имеет поперечное сечение в виде круга. Наверняка, вы помните, что в геометрии площадь круга рассчитывается по конкретной формуле. В эту формулу достаточно подставить полученное значение диаметра. Сделав все расчеты, вы получите сечение провода.


- π — это константа в математике равная 3.14;
- R — радиус круга;
- D — диаметр круга.
Это и есть формула для расчета сечения провода по диаметру, которую многие почему то боятся. К примеру, вы провели измерения диаметра жилы и получили значение 1,8 мм. Подставив это число в формулу, получим следующее выражение: (3.14/4)*(1.8)2=2,54 кв. мм. Значит, провод, диаметр жилы которого вы измеряли, имеет сечение 2,5 кв.мм.
Расчет монолитной жилы
Когда вы идете в магазин за проводом, возьмите с собой микрометр или штангенциркуль. Последний более распространен в качестве измерительного прибора сечения провода.
Скажу сразу расчет сечения кабеля по диаметру в данной статье я буду выполнять для кабеля ВВГнг 3*2.5 мм2 трех разных фирм производителей. То есть суть всей работы будет разбита на три этапа (это только для монолитного провода). Посмотрим что получится.


Чтобы узнать сечение провода (кабеля), состоящего из одной проволоки (монолитная жила), необходимо взять обычный штангенциркуль или микрометр и сделать замер диаметра жилы провода (без изоляции).


Для этого нужно предварительно очистить небольшой участок измеряемого провода от изоляции, а потом уже приступить к измерению токоведущей жилы. Другими словами, берем одну жилу и снимаем изоляцию, а затем измеряем диаметр этой жилы штангенциркулем.


Пример №1. Кабель ВВГ-Пнг 3*2.5 мм2 (производитель неизвестен). Общее впечатление — сечение показалось сразу маловато, поэтому и взял для опыта.


Снимаем изоляцию, меряем штангенциркулем. У меня получилось диаметр жилы равен 1.5 мм. (маловато однако).


Теперь возвращаемся к нашей вышеописанной формуле и подставляем в нее полученные данные.
Имеем:


Получается фактическое сечение составляет 1.76 мм2 вместо заявленного 2.5 мм2.
Пример №2. Кабель ВВГ-Пнг 3*2.5 мм2 (производитель «Азовкабель»). Общее впечатление — сечение вроде бы нормальное, изоляция тоже хорошая, плотная с виду не экономили на материалах.


Делаем все аналогично, снимаем изоляцию, меряем, получаем следующие цифры: диаметр — 1.7 мм.


Подставляем в нашу формулу для расчета сечения по диаметру, получаем:


Фактическое сечение составляет 2.26 мм2.
Пример №3. Итак остался последний пример кабель ВВГ-Пнг 3*2.5 мм2 производитель неизвестен. Общее впечатление — сечение также показалось заниженным, изоляция вообще голыми руками снимается (прочности ни какой).


В этот раз диаметр жилы составил 1.6 мм.


Фактическое сечение составляет 2.00 мм2.


Также хотелось бы добавить в сегодняшний мануал как определить сечение провода по диаметру при помощи штангенциркуля еще один пример, кабель ВВГ 2*1.5 (как раз завалялся кусок). Просто захотелось сравнить, сечения 1.5-го формата тоже занижают.


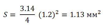
Проделываем все тоже самое: снимаем изоляцию, берем штангенциркуль. Получилось диаметр жилы 1.2 мм.


Фактическое сечение составляет 1.13 мм2 (вместо заявленных 1.5 мм2).
Расчет без штангенциркуля
Этот способ расчета применяется для нахождения сечения провода с одной жилой. При этом измерительные инструменты не используются. Бесспорно, применение штангенциркуля или микрометра для этих целей считается самым оптимальным. Но ведь эти инструменты не всегда есть в наличии.
В таком случае найдите предмет цилиндрической формы. Например, обычную отвертку. Берем любую жилу в кабеле, длина произвольная. Снимаем изоляцию, чтобы жила была полностью чистой. Наматываем оголенную жилу провода на отвертку или же карандаш. Измерение будет тем точнее, чем больше витков вы сделаете.


Все витки должны располагаться как можно более плотно друг к другу, чтобы не было зазоров. Подсчитываем, сколько витков получилось. Я насчитал 16 витков. Теперь нужно измерять длину намотки. У меня получилось 25 мм. Делим длину намотки на число витков.


- L — длина намотки, мм;
- N — количество полных витков;
- D — диаметр жилы.
Полученное значение является диаметром провода. Для нахождения сечения пользуемся выше описанной формулой. D = 25/16 = 1.56 мм2. S = (3.14/4)*(1.56)2 = 1.91 мм2. Получается при измерении штангенциркулем сечение составляет 1.76 мм2, а при измерении линейкой 1.91 мм2 — ну погрешность есть погрешность.
Как определить сечение многожильного провода
В основе расчета лежит тот же принцип. Но если вы будете измерять диаметр сразу всех проволочек, из которых состоит жила, то рассчитаете сечение неправильно, ведь между проволочками есть воздушный зазор.


Поэтому сначала нужно распушить жилу провода (кабеля) и посчитать количество проволочек. Теперь по вышеописанному способу необходимо измерять диаметр одной жилки.
К примеру, у нас есть провод, состоящий из 27 жилок. Зная, что диаметр одной жилки составляет 0,2 мм, мы можем определить сечение этой жилки, используя все то же выражение для расчета площади круга. Полученное значение необходимо умножить на количество жилок в пучке. Так можно узнать сечение всего многожильного провода.


В качестве многожильного провода ПВС 3*1.5. В одном проводе 27 отдельных жилок. Берем штангенциркуль меряем диаметр, у меня получилось диаметр составляет 0.2 мм.


Теперь нужно определить поперечное сечение этой жилки, для этого используем все туже формулу. S1 = (3.14/4)*(0.2)2 = 0.0314 мм2 — это сечение одной жилки. Теперь умножаем это число на количество жил в проводе: S = 0.0314*27= 0.85 мм2.
| Друзья предлагаю в данной теме «как рассчитать сечение кабеля по диаметру» так сказать хвастаться рекордами у кого какие измерения получились: например у меня максимум что попадалось кабеля ВВГ-Пнг 3х2,5 фактическое сечение 1,7 кв.мм (занижено на – 32 %). |