Все электрические сети подключаются к источнику питания, иначе это не цепь, а набор деталей. Это может быть батарейка, аккумулятор или понижающая трансформаторная подстанция.
Эти элементы сети вместе с электропроводкой и электроприборами составляют контур, распределение потенциалов в котором описывается второй закон Кирхгофа.
Определение второго правила Кирхгофа
Этот закон определяет напряжение и ЭДС (E) на различных элементах цепи и применяется к замкнутой сети или контуру. Поэтому он также известен как закон петли Кирхгофа.
Второе правило так же носит название закон напряжения Кирхгофа. Оно выводится из закона сохранения энергии, что можно понять из следующего явления.
В замкнутом контуре количество полученного заряда равно количеству потерянной энергии, которая происходит из-за падения напряжения на резисторах, включенных в эту цепь. Следовательно, сумма подъёмов и падений потенциалов в замкнутой цепи должна быть равна нулю. Математически это можно представить как ΣU=0.
Формулировка №1: алгебраическая сумма падений напряжений в любом замкнутом контуре, равна алгебраической сумме ЭДС вдоль того же контура.


Формулировка №2: алгебраическая сумма напряжений (не падений напряжения!) вдоль любого замкнутого контура равна нулю.


Иначе говоря, внутри любого замкнутой сети сумма напряжений на всех элементах, поставляющих в сеть электрическую энергию, таких как батареи, генераторы или трансформаторы, должна равняться сумме напряжений на всех деталях, потребляющих электроэнергию.
Это является следствием двух законов — сохранения заряда и сохранения энергии. При этом второе правило Кирхгофа гласит, что электродвижущая сила или ЭДС, действующая на элементы замкнутого контура, должна быть равна сумме разностей потенциалов, имеющихся на всех составляющих этого контура.


При этом нужно принимать во внимание не только падение напряжения на пассивных элементах, но и внутреннее сопротивление источника питания.
| Важно! При наличии в цепи ёмкостного или индуктивного сопротивления следует учитывать не только активное, но и реактивное или полное падение напряжения. |
Физический смысл второго закона Кирхгофа
2 закон Кирхгофа позволяет выразить в числовой форме связь между ЭДС и падением напряжения на элементах замкнутой сети. Эти величины должны быть одинаковыми, иначе нарушается один из фундаментальных законов о сохранении энергии, сформулированный ещё Михаилом Ломоносовым и другими учёными:
- если бы ΣE > ΣU, то какая-то часть энергии источника питания исчезала бы бесследно;
- если бы ΣE < ΣU, то стало бы возможным создание «вечного» двигателя и получать энергию из «ниоткуда».
Оба этих явления ни разу не наблюдались экспериментально и, следовательно, являются невозможными.


Расчёты, использующие законы Кирхгофа, применяются при определении параметров электрических цепей. Есть два закона Кирхгофа: первый или закон тока и второй или закон напряжения. С их помощью составляются уравнения для отдельных компонентов (резисторов, конденсаторов и катушек индуктивности).
Применяя правила Кирхгофа, можно получить уравнения, позволяющие находить неизвестные данные. Это токи, ЭДС, напряжение и сопротивления для определения создается система уравнений, которых должно быть столько же, сколько имеется неизвестных. При этом уравнения могут иметь два решения, определяющие знаки различных величин.
Применяя первое правило Кирхгофа необходимо пометить ток в каждой ветви и решить, в каком направлении он течет. При этом отсутствует опасность выбора неправильного направления потому что, если оно было выбрано неверно, ток будет правильной величины, но c отрицательным значением, что не повлияет на конечный результат.
Применяя второе правило Кирхгофа, правило петли, нужно найти замкнутую цепь (контур) и решить, в каком направлении производить её обход, по часовой стрелке или против. При этом обход цепи в противоположном направлении меняет знак каждого члена в уравнении, что соответствует умножению обеих частей уравнения на -1.
Применение законов Кирхгофа имеют ограничения. В некоторых ситуациях составит правильные уравнения сложно, а иногда невозможно. Правила Кирхгофа предназначены для сетей постоянного тока, поэтому при увеличении частоты растут неучтённые потери из-за ёмкостного и индуктивного сопротивления проводов.
Уравнение для второго закона Кирхгофа
Формула второго закона Кирхгофа может выражаться двумя способами — ΣE=ΣIR и ΣU=0. Более удобной для использования считается первое выражение. При расчёте используется алгебраическое сложение с использованием не только величины, но знака потенциала.
При этом на принципиальной схеме произвольным образом выбирается направление прохождения замкнутой цепи и так же случайно определяется направление электрического тока. Возле всех элементов отмечаются знаки для ЭДС и падений напряжения по следующим правилам:
- при совпадении направлений обхода контура и источника питания, ЭДС присваивают знак «+», в противном случае элемент имеет знак «-«;
- при одинаковом направлении тока и обхода контура, произведение (IR) имеет знак «+», иначе ему присваивается знак «-«.


В результате обхода сумма потенциалов, меняя знак и величину, должна вернуться к нулевому значению. Если это не произошло, значит, была допущена ошибка при подсчёте или не был учён какой-либо либо фактор, например, ёмкость проводов или внутреннее сопротивление элементов питания.
Несмотря та то, что направление электрического тока может выбираться любым, рекомендуется его принимать от «+» к «-» в цепи постоянного тока и от «L» к «N» в сети переменного тока.
| Важно! Контур может быть не самостоятельным элементом, а частью схемы бОльших размеров. В этом случае источником напряжения является не батарея, а узлы подающие питание. |
У закона напряжения Кирхгофа есть несколько практических выводов, каждый из которых может использоваться в соответствующей ситуации:
- В сложной схеме можно выделить несколько контуров, каждый из которых рассчитывается по-отдельности. Алгебраические суммы ЭДС и напряжений в таком контуре равны ΣE=ΣU.
- Если в контуре нет источников питания, то ток в цепи отсутствует. В такой системе из-за отсутствия падения напряжения на резисторах ΣU=0.
Расчеты электрической цепи
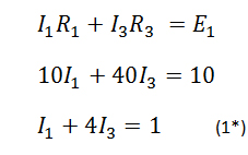
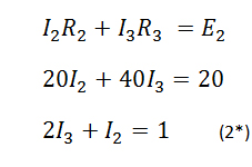
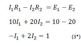
Для примера рассмотрим схему с двумя источниками питания, включёнными параллельно. При этом одна ЭДС напряжением Е1=10 В, вторая Е2=20 В. Сопротивление нагрузки R1=10 Ом, R2=20 Ом, R3=40 Ом.


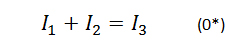
Прежде всего, необходимо выделить отдельные контуры и выбрать направление обхода контура и протекания тока. При этом, используя первый закон Кирхгофа, в нагрузке: I1+I2=I3.


Применяя второй закон Кирхгофа и приведенное выше правило о знаках, в первого контура получается следующее выражение: I1•R1+I3•R3 = E1, 10I1+40I3 = 10, или I1+4I3 = 1.


Для второго контура расчёт получится: I2•R2+I3•R3 = E2, 20I2+40I3 = 20, или 2I3+I2 = 1.


Для третьего контура: I1•R1-I2•R2 = E1-E2, 10I1-20I2 = 10-20, или -I1+2I2= 1.


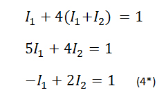
Используя формулу I1+I2=I3 из первого закона Кирхгофа, подставляем выражение (0*) в выражение (1*): I1 +4(I1+I2) = 1, или 5I1+4I2 = 1.


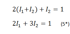
Затем подставляем в выражение (2*) в выражение (0*). Уравнение для второго контура преобразовывается в выражение: 2(I1+I2)+I2 = 1, или 2I1+3I2 = 1


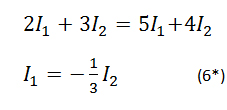
Теперь ток I1 можно найти из (выражения 5* подставляем в 4*): 2I1+3I2 = 5I1+4I2, или I1 = -(1/3)I2


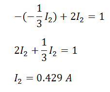
Используя последнее уравнение и уравнение для третьего контура получаем ток I2:


Находим ток I1: I1 = -(1/3)•0,429 = -0,143 А.
Ток I3: I3 = I1+I2 = 0,429-0,143 = 0,286 А.
- I2=0,429 А;
- I1=–0,143 А;
- I3=0,286 А;
Друзья еще один пример решения уравнений по 1-му и 2-му законам Кирхгофа:


Вывод
Второй закон Кирхгофа гласит, что алгебраическая сумма падений напряжений в любом замкнутом контуре равна алгебраической сумме ЭДС, действующих вдоль этого контура.
Это означает, что энергия, подаваемая батареей, расходуется всеми остальными компонентами цепи, поскольку энергия не может войти или выйти из замкнутого контура. Правило представляет собой применение закона сохранения энергии с точки зрения разности электрических потенциалов.
Другими словами — энергия сохраняется. Общее количество вложенной энергии (сумма ЭДС) равно общему количеству отведенной энергии (сумма падений напряжений). Этот закон используется для анализа сложных электросхем, которые нельзя рассчитать более простыми методами.
- Пайка проводов паяльником
- Способы определить полярность диода
- Проверка исправности конденсатора