Основная характеристика большинства электроприборов мощность, которая указывается в ваттах или киловаттах, а главным параметром уставки защитных приборов и кабелей является ток, который измеряется в амперах.
Поэтому при выборе защитной аппаратуры, сечения проводов и в некоторых других случаях необходимо выполнить перерасчёт. Для этого необходимо знать, как перевести амперы в киловатты.
Для чего это необходимо
Ток, потребляемый электроприборами, подключёнными к одной линии, ограничен нагревом кабелей. При превышении этого параметра токоведущая жила начинает перегреваться, что приводит к выходу изоляции из строя, её разрушению и короткому замыканию.
Допустимый ток для проводов разного сечения указан в ПУЭ гл. 1.3. Исходя из этого параметра, подбираются уставки защитных автоматов и номинальный ток УЗО и реле напряжения.
Вторым фактором, отграничивающим мощность, является предельный ток бытовых розеток. Для большинства коммутационных устройств он составляет 16 А, поэтому мощность бытовых электроприборов производители ограничивают величиной 3,5 кВт.


На электрических вилках, счетчиках электрической энергии, предохранителях, розетках, автоматах, стоит маркировка в Амперах. Она указывает на максимальный ток, который способен выдержать прибор.
Однако на самих электроприборах наносится другая техническая характеристика. На них ставят маркировку, выраженную в Ваттах или Киловаттах, которая отображает мощность, потребляемую прибором.
Часто возникает проблема с подбором автоматов для определённой нагрузки. Совершенно понятно, что для электрической лампочки нужен один автомат, а для стиральной машины или бойлера – более мощный.
Тут – то и возникает вполне логический вопрос и проблема как перевести Амперы в Киловатты. Благодаря тому, что в России напряжение в электрической сети переменное, существует возможность самостоятельно рассчитать соотношение Ампер Ватт, используя нижеприведённую информацию.
Какие параметры необходимы для расчёта
Непосредственно рассчитать, сколько ампер в одном киловатте невозможно, это разные величины, как объём и вес, и для пересчёта необходимо использовать несколько параметров и специальные формулы.
Обозначение напряжения, тока и мощности
Для определения потребляемого электроприбором тока, а так же перед тем, как перевести амперы в киловатты, необходимо измерить и использовать следующие параметры сети и оборудования:
- Напряжение. Это разность потенциалов между различными участками электроцепи. Для бытовых электроприборов это потенциал между фазным и нейтральным проводами. Условно напряжение можно сравнить с давлением воды в водопроводе. Единица измерения этого параметра называется «вольт», свое название он получил в честь итальянского физика и физиолога Алессандро Вольты. Условное обозначение напряжения в формулах «U», числовое значение разности потенциалов указывается, как *В или *V.
- Сила тока. Указывает на количество заряженных частиц, проходящих по проводнику за 1 секунду. Аналогом силы тока может служить поток воды в трубе. Единица силы тока называется «ампер» и она так называется в честь французского физика Андре́-Мари́ Ампе́ра. В формулах ток указывается «I», а величина силы тока обозначается *А.
- Мощность. Определяет работу, выполненную в единицу времени. Этот параметр носит название «ватт», в формулах он указывается как «Р», а числовое значение выглядит как «Вт» или *W. Мощность электроприборов большой мощности измеряется в «киловаттах» или «кВт», причём 1кВт=1000Вт. Название единице мощности дано в честь шотландско-ирландского изобретателя-механика Джеймса Уатта (Ватта).
Как измеряется электрическая мощность
Мощность, потребляемую электроприбором или вырабатываемую генератором нельзя узнать простым измерением, как ток или напряжение. Его величина зависит от обоих параметров, и существует несколько способов узнать эту её значение:
- Использовать ваттметр. У этого прибора имеются две пары выводов, одна из которых включается параллельно с оборудованием и измеряет проходящий через него ток, а вторая пара определяет напряжение сети.
- Отдельно при помощи мультиметра узнать протекающий ток и напряжение на подключении к оборудованию. После этого использовать соответствующие формулы и произвести расчёт мощности.
- Измерить только ток, а величину напряжения в сети принять равной 220В или использовать паспортные данные блока питания, после чего произвести расчёт. Это самый простой, хотя и приблизительный метод определения мощности.
| Информация! При падении напряжения в сети, особенно в сёлах, где имеется значительная протяжённость линий электропередач, одновременно падает мощность электрообогревателей, бойлеров и электроплит. |
По какой формуле выполняется расчет
На корпусе большинства аппаратов не указан ток потребления и для того, чтобы определить соответствие приборов и проводки необходимо произвести перевод ампер в киловатты.
Эти два параметра, согласно законам электротехники связаны между собой, поэтому для того, чтобы узнать, сколько киловатт выдержит автомат на 40 Ампер, достаточно применить соответствующую формулу или использовать один из онлайн-калькуляторов.
Расчёт мощности производится путём произведения между собой тока и напряжения, причём все величины должны иметь одинаковую разрядность — ватты, вольты и амперы или киловатты, киловольты и килоамперы.
Самый простой вид имеет формула для постоянного тока и бытовых электроприборов Р=UxI, где:
- Р — мощность;
- U — напряжение;
- I — сила тока.


Для более точного расчёта следует учитывать коэффициент мощности, или cosφ, указывающий соотношение активной и полной мощности. В этом случае формула имеет следующий вид P=I*U*cosφ. Этот параметр учитывается при расчёте мощных трансформаторов и других промышленных электроприборов
В трёхфазной сети учитывается так же сдвиг фаз и расчёт мощности производится по формуле:
P = √3*U*I*сos φ
Перевод Ампер в киловатты
Однозначно сказать, сколько ампер в 1 киловатте невозможно. Для этого необходимо учесть напряжение сети и количество фаз. В основе этих расчётов находятся формулы, согласно которым мощность равна произведению силы тока и напряжения P=U*I или, используя алгебраическое преобразование ток равен результату деления мощности на напряжение I=P/U.


В разных сетях эти формулы немного отличаются друг от друга, учитывая особенности конкретной ситуации.
Однофазная сеть
В России, странах СНГ и некоторых других государствах напряжение однофазной сети равно 220В и, несмотря на то, что фактические параметры сети могут отличаться в любую сторону, при расчёте сечения проводов и уставок автоматических выключателей используется именно эта величина.
Следовательно, формулы перевода амперов в киловатты и обратно имеют следующий вид:
- Определение силы тока. Для этого используется выражение I=P/U=Р/220. При этом допускается использовать упрощённый вариант расчёта I(А)=Р(кВт)*4.45≈Р(кВт)*5.
- Расчёт допустимой мощности. В том случае, если имеется кабель или автомат, то для определения мощности электроприборов применяется формула P=U*I=220*I или Р(кВт)=I(А)/4,5≈I(А)/5




Использование упрощённых вариантов расчёта является в некоторой степени более правильным, так как при этом автоматически добавляется необходимый запас сечения кабеля или уставки автомата.
Трехфазная сеть
Расчёт в трёхфазной сети производится в двух случаях — подключение к линии большого количества однофазных приборов или для монтажа электродвигателя. В первом случае вычисления выполняются для каждой фазы в отдельности, а для электродвигателя необходимо учитывать коэффициент мощности cosφ, для электромашин он равен 0,8-0,85.
Формулы для трёхфазных электродвигателей имеют следующий вид:
- Расчёт силы тока для выбора автомата и сечения провода. В сети 380В ток рассчитывается по формуле I=P/(U*√3*cosφ)=Р/(380*1.7*0.80)=Р/516. Допускается применять упрощённый вариант I(A)≈Р(кВт)*2.
- При наличии автоматического выключателя и кабеля необходим расчёт максимальной мощности электродвигателя в данной сети. Для этого используется выражение P= √3*U*I*сos φ=1,7*380*I*0.80 или Р(кВт)≈I(А)/2.
| Важно! Для выбора уставки тепловой защиты необходимо использовать паспортные данные электродвигателя. |
Сеть постоянного тока
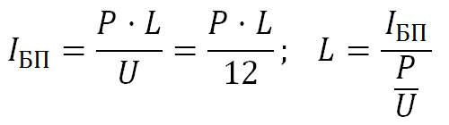
В сети постоянного тока применяется первоначальный вариант формул I=P/U и P=I*U. Чаще всего этот расчёт производится для выбора блока питания светодиодной ленты, в параметрах которой указываются только напряжение питания и мощность одного метра, или длины ленты, которую можно подключить к данному источнику напряжения.
Поэтому при вычислении используется длина ленты L и формулы приобретают вид I(бп)=P*L/U=P*L/12 и L=I(бп)/(Р/U). Кроме того, для увеличения срока службы драйвера (блока питания) его необходимо выбирать с 10% запасом мощности.


Как перевести амперы в киловатты в однофазной сети
- — Ватт = Ампер * Вольт:


- — Ампер = Ватты / Вольт:


Для того чтобы Ватты (Вт) перевести в киловатты (кВт) нужно полученное значение разделить на 1000. То есть в 1000 Вт = 1 кВт.


Как перевести амперы в киловатты в трехфазной сети
- — Ватт = √3 * Ампер * Вольт * сos φ:


- — Ампер = Ватты / (√3 * Вольт * cosφ):


Итак, например, рассчитывая ток, который будет течь по проводам при включении электрического чайника мощностью 2 кВт (2000 Ватт) и с переменным напряжением в сети 220 Вольт, следует применить следующую формулу. Разделить 2 кВт на 220 Вольт. В итоге получим 9 – это и будет количество Ампер.


| Информация! сos φ — коэффициент мощности, показывающий потребление реактивной мощности. Его нужно учитывать для таких нагрузок как электродвигатели, трансформаторы, линии электропередач. Коэффициент мощности cosφ для бытовых электроприборов принимается равным 1 и при расчётах не учитывается. |
По сути это не малый ток, поэтому, подбирая кабель, следует учитывать его сечение. Провода, изготовленные из алюминия могут выдерживать значительно меньшие нагрузки, чем медные того же сечения.
Но и слишком тонкие провода из меди тоже могут не выдержать нагрузки. В лучшем случае они просто перегорят или «выбьет» автоматы. В худшем – может стать причиной пожара. Поэтому подходить к выбору автоматов и сечения провода нужно крайне ответственно.
Пример перевода ампер в киловатты
Для лучшего понимания того, как перевести амперы в киловатты, можно рассмотреть несколько практических примеров применения этих формул.
Для однофазной сети 220 Вольт
Предположим, что выделенная линия розеток подключена к автоматическому выключателю С16, имеющему уставку 16А. Необходимо узнать, какая общая мощность электроприборов может быть подключена к сети.
Расчёт выполняется по формуле P=U*I=220В*16А=3520 Вт=3.5 кВт. Однако желательно уменьшить эту величину на 10-15% для того, чтобы предотвратить ложные срабатывания защиты или использовать упрощённое выражение Р(кВт)=I(A)/5=16/5=3,2 кВт.


В паспорте кондиционеров указываются сразу два значения мощности — тепловая и электрическая, причём тепловая в несколько раз больше. Это связано с тем, что этот аппарат работает по принципу теплового насоса и при расчётах необходимо учитывать именно электрическую мощность.
Для трехфазной сети 380 Вольт
При подключении трёхфазных электродвигателей чаще всего производится выбор автомата и кабеля, а не мощности электромашины. Предположим, имеется электродвигатель 5 кВт, сколько ампер должна быть уставка автомата?


Этот расчёт в сети 380В производится по формуле I=P/(U*√3*cosφ)=5000/(380*1.7*0.80)=5000/516=9,68А или по упрощённому варианту I(A)≈Р(кВт)*2=5*2=10А.
Сеть постоянного тока 12 Вольт
Достаточно часто возникает ситуация при которой необходимо подобрать блок питания к светодиодной ленте. Предположим, что в наличии имеются 4 метра полосы, на этикетке которой указано, что мощность одного метра 14,4 Вт/м. В этом случае вычисления производятся в несколько этапов:
- 1. Узнать ток потребления 1метра ленты. Расчёт выполняется по формуле I=P/U=14.4/12=1,2 А/м.
- 2. Определяется общий ток полосы. I=1,2*4=4,8 А.
- 3. Берётся необходимый коэффициент запаса мощности 10%. I=4,8А*110%=4,8А*1,1=5,28 А.
Следовательно, выходной ток блока питания должен быть не меньше 5,28 А.








- Нож электрика
- Токоизмерительные клещи
- Как найти мощность через ток
- Индикатор светится на фазе и на нуле